2025-12-08 18:05:55

封面展示了基于非线性晶体的自发参量下转化过程产生纠缠光子的示意图。本文使用周期极化磷酸氧钛钾(PPKTP)晶体光路实现了高效率的位置-动量(EPR)纠缠光子制备,并利用鬼成像和鬼干涉技术验证了纠缠特性,实验设计相对简单,可以为量子信息处理、量子成像等过程提供帮助。
1、研究背景
量子纠缠态在量子科学领域不可或缺,已应用于量子密钥分发、量子计算、量子中继等领域。位置-动量纠缠(即EPR纠缠)描述一对在位置上相关,同时在动量上反相关的粒子,设xa、xb分别为粒子a和b的位置,pa、pb分别为粒子a和b的动量,?为约化普朗克常量,若其不确定度满足:

则两个粒子符合EPR纠缠。EPR纠缠在量子成像、量子测量和量子通信等领域具有重要意义。因此制备EPR纠缠态并表征其纠缠度就尤为重要。
传统的位置-动量纠缠制备技术主要基于非线性晶体和原子系统。与非线性晶体方案相比,原子系统的装置更加复杂,调节难度大。而利用偏硼酸钡(BBO)晶体产生的纠缠光子的效率较低,需要的采样时间长。因此,一种高效制备位置-动量纠缠并表征其纠缠度的方案就尤为重要。
2、创新研究

图1 EPR纠缠制备与表征实验的结构示意图
国防科技大学电子对抗学院胡以华教授科研团队基于PPKTP晶体的自发参量下转换效应,成功制备了EPR纠缠源,其系统原理如图1所示。该方案的核心在于利用非线性晶体生成偏振方向互相垂直的纠缠光子对,整体光路主要由两个4f(f为焦距)成像系统构成。泵浦光源由405 nm连续光激光器、偏振分光棱镜和一组透镜提供。本方案采用Ⅱ型非线性晶体,因此用偏振分光棱镜将透射光束调整为水平偏振,再利用一组透镜对激光进行缩束处理以增大功率密度,从而增加纠缠光子的产生速率。这组透镜同时构成了第一个4f成像系统,PPKTP晶体被放置在成像光路的傅里叶平面处。透镜3和透镜4同时构成了第二个4f成像系统,晶体放置的位置是透镜3的物平面。纠缠双光子被偏振分光棱镜分成两路,水平方向的偏振光为信号光子,竖直方向的偏振光为闲散光子。
将信号和闲散光子分别引导至单光子探测器进行检测,对探测到的信号进行符合计数分析。在信号光子路径中加入成像物体,使用细铁丝作为成像物,使其能被信号光子完全覆盖。成像物紧贴光纤耦合头1,放置在光束正中央,位于透镜4的焦平面上。在闲散光子的路径中,使用半波片和偏振分光棱镜将光线分为两路。通过旋转半波片调整两路闲散光的功率,选择进行成像测量或干涉测量。成像路径的闲散光子经过狭缝之后进入光纤耦合头2。狭缝和光纤耦合头2都装在平移台上,对平移台进行横向位置扫描,多模光纤收集到的闲散光子信号用单光子探测器接收,与信号光子进行符合测量,每个位置点的时间积累是10 s,用于鬼成像,如图2(a)所示。另一路闲散路径光子被放置在棱镜4焦平面上的短焦距透镜聚焦,用于收集光子,短焦距透镜被放置在透镜4的焦平面上,并对光纤耦合头进行横向位置扫描,扫描步进为2.5 μm,与信号光进行符合测量,用于鬼干涉,如图2(b)所示。

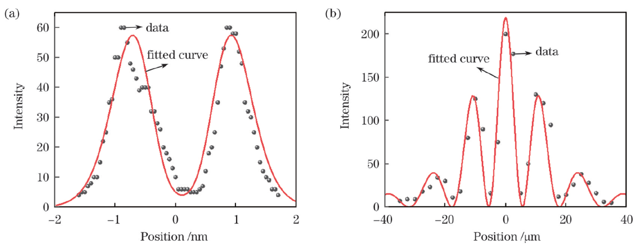
图2 EPR纠缠图案。(a)鬼成像;(b)鬼干涉(黑色点为实验测量数据,每个点的采样时间为10 s,红色曲线为理论拟合曲线)
通过这种设置,可以同时对空间相关性和量子干涉进行探索和测量。由于信号和闲散光子之间的纠缠特性,允许在一个通道上获取信息,而在另一个通道上进行成像或干涉实验,这是量子成像技术的核心概念之一。鬼成像与鬼干涉是量子力学中纠缠特性的直接应用,允许在不直接观测对象的情况下对其进行研究,从而揭露出量子力学的非局部性质。
鬼成像和鬼干涉可以通过经典相关光子实现,但不能同时观察到。光子对的位置和动量同时存在量子相关性,因此可以观察到鬼成像和鬼干涉,如图2所示。在信号光子路径中,透镜4的焦平面上插入的铁丝起到了双缝的作用。闲散光子通过具有空间分辨率的探测器进行扫描测量。扫描单个探测器的计数率不显示任何图像或干涉,但是两个单光子探测器之间的符合计数率中出现鬼成像或鬼干涉。通过鬼成像与鬼干涉,得到动量不确定度为:Δp =(1.453±0.381)?/mm,位置不确定度:Δx=(0.045±0.0067)mm,由此得出(Δp)2(Δx)2=(0.00443±0.00021)?2,验证了经过PPKTP晶体自发参量下转换效应产生的双光子,满足EPR纠缠不等式,即存在位置-动量纠缠。表1给出不同方案中EPR纠缠不确定度的比较。
表1 不同方案中EPR纠缠的不确定度

3、总结与展望
该研究成功地基于PPKTP晶体自发参量下转换效应制备了位置-动量纠缠的双光子量子态,并通过鬼成像与鬼干涉技术对该纠缠态进行了精确的表征。通过对实验数据进行理论拟合,验证了所制备的EPR纠缠光子对满足纠缠不等式的要求,证明了其纠缠性。此项技术在保证原理可靠性的同时,具备了能在常温环境下高效制备与表征纠缠的优点,而且只需要单一泵浦光源,极大简化了实验装置的复杂度。研究表明,该EPR纠缠源在量子成像、基于连续变量纠缠的量子隐形传态、量子密钥分发,以及量子探测等众多前沿领域具有广泛的应用前景。这一高效制备纠缠态的方法为这些领域的应用研究开辟了新的道路。未来,我们预计通过对泵浦光源的高斯特性进一步的调制和优化,实现纠缠质量的显著提升,从而推动量子技术至更高水平的发展。
参考文献: 中国光学期刊网

您好,可以免费咨询技术客服[Daisy]
欢迎大家给我们留言,私信我们会详细解答,分享产品链接给您。
免责声明:
资讯内容来源于互联网,不代表本网站及新媒体平台赞同其观点和对其真实性负责。如对文、图等版权问题存在异议的,请联系我们将协调给予删除处理。行业资讯仅供参考,不存在竞争的经济利益。
